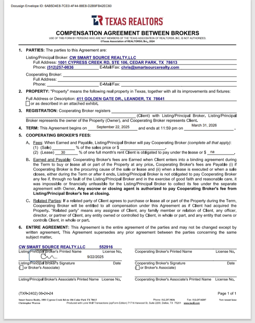
411 Golden Gate Dr, Leander, TX 78641
411 Golden Gate Dr, Leander, TX 78641
Beautifully Renovated Single-Story Gem in Leander
Nice 3-2 single story Centex home. Open floorplan. Freshly painted exterior. Full interior paint. New carpet and vinyl plank flooring. New dishwasher. Crown molding in living area. Fully fenced yard. Multiple parks and community swimming pool. Best value in Leander! Apply online at www.smartsourcerealty.com . Click available properties from main page of website.
Contact us:
























